
產生皺紋是皮膚衰老的特征之一。研究表明,人們提出了很多衰老學說,其中活性氧自由基學說是較多支持的學說。

人體正常生理代謝和環境影響,如紫外線照射、環境污染等,都會導致活性氧(ROS)的產生,過量的自由基會導致皮膚衰老等問題產生。減少自由基的產生和清除老化代謝物是減緩皮膚衰老以及皺紋產生的方法之一
化妝品抗皺功效測試方法分為人體法和體外法兩大類,而體外法有生物化學法、細胞法、表皮模型法、斑馬魚胚胎法等。其中生物化學法使用相對便捷、成本低、易于實現、速度快,可用于抗皺原料的高通量篩選。如DPPH自由基清除法、ABTS自由基清除法、超氧陰離子自由基清除法等。
一、DPPH自由基清除法

DPPH乙醇溶液呈紫紅色,在519 nm處有最大吸收波長。當加入自由基清除劑時,DPPH自由基被清除,溶液逐漸變淺,在519 nm 處的吸光度隨之減小。溶液顏色越淺,其吸光度值越低,自由基清除劑清除DPPH自由基的效果越好。
二、ABTS自由基清除法

ABTS與過硫酸鉀反應生成綠色的ABTS+。具有抗氧化性的物質可抑制ABTS+的生成,ABTS+在可見光區最大吸收峰734 nm處,測定吸光度,其光度值的大小可定量得出反應物質的自由基清除能力。即其吸光度值越低,具有抗氧化性的物質清除ABTS自由基的能力越強。
三、超氧陰離子自由基清除法

鄰苯三酚在堿性條件下能迅速發生氧化鏈式反應,釋放出超氧陰離子自由基(O2—),O2—進一步加速鄰苯三酚的氧化,生成在320 nm 處有特殊吸收的中間產物。若在反應體系中加入抗氧化物,可清除O2—,阻止中間產物的積累,使得在320 nm處的吸光度減小。
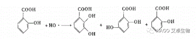
四、羥自由基清除法

水楊酸與羥自由基(·OH)反應生成可 2,3- 二羥基苯甲酸,它在 510 nm處有最大吸收波長。利用過氧化氫(H2O2)與七水硫酸亞鐵(FeSO4·7H2O反應生成·OH,加入具有清除自由基能力的物質,可抑制2,3-二羥基苯甲酸生成,降低 510 nm 處的吸光度。
自由基清除劑或抗氧化劑可以提供電子、抑制氧化。通過吸收自由基的同時,細胞不受攻擊,達到清除自由基目的,減少皺紋的產生,從而達到減緩皮膚的衰老過程,化妝品的成品、半成品和原料可以通過上述實驗確定其是否具有清除自由基的能力及其能力的強弱。

以上幾種方法可以計算樣品清除自由基的清除率,以及計算其半數清除濃度(IC50)。通過進行不同樣品的自由基清除能力比較可知,IC50值越小,代表該樣品的清除自由基能力越強,從而比對出不同化妝品成品、半成品或原料清除自由基的能力。
- 參考文獻 -
[1]用于生物醫學應用的 ROS 響應藥物遞送系統[J]. 陶文輝; 何忠貴. 亞洲藥學雜志第 13 卷,第 2 期。2018. PP 101-112
[2]化妝品功效成分的透皮吸收途徑與技術[J]. 林婕,何聰芬,董銀卯,廣豐. 中國化妝品(行業). 2009(01)
[3]杏仁油及葡萄籽油清除自由基能力研究[J]. 孔浩,張繼.甘肅科技. 2008(06)
[4]高品質茶油精制工藝進展及其在化妝品中的應用[J]. 張納. 廣東林業科技. 2008(04)
[5]劉科梅,聶挺,潘棟梁,胡川,陸豫,余勃. 量子化學計算研究4種黃酮類天然抗氧化物清除自由基活性的構效關系[J].南昌大學學報(理科版),2016,40(03):250-256.
